《自然·医学》:重大突破!非侵入性疗法刺激脊髓,被证明可以改善SCI患者上肢力量!
《自然·医学》:重大突破!非侵入性疗法刺激脊髓,被证明可以改善SCI患者上肢力量!
脊髓损伤(Spinal Cord Injury, SCI)是一种严重的中枢神经系统损伤,它破坏了大脑与脊髓之间关键的双向交流通路,这些通路对于产生和调节基本神经功能至关重要。当脊髓损伤发生在颈椎节段时,其后果尤为严重,常常导致手臂和手部功能的不可逆转损害,从而严重影响患者的自理能力和生活质量。
传统脊髓神经电刺激通过将电极植入患者的脊髓区域,利用电流刺激神经纤维,以达到治疗目的。现有研究表明可以使用非侵入性方法刺激脊髓,即通过表面电极将电流传送到脊髓,从而通过募集进入脊髓的传入纤维来调节目标脊髓节段内的神经元亚群。
ARCEX是一种由小型刺激器组成的新型非侵入式装置,目前处于研究阶段。该实验于2021年1月8日启动,于2024年5月20日发表在《Nature Medicine》(IF:58.7)上。

研究过程
研究对象:试验共纳入60名年龄在22~75岁之间的慢性颈椎SCI患者。所有患者在入组前均遭受了超过12个月的创伤性、非进行性颈椎损伤,损伤程度从轻度到重度不等(根据美国国家脊髓损伤协会制定的分级标准[ASIA],为B、C、D级)。
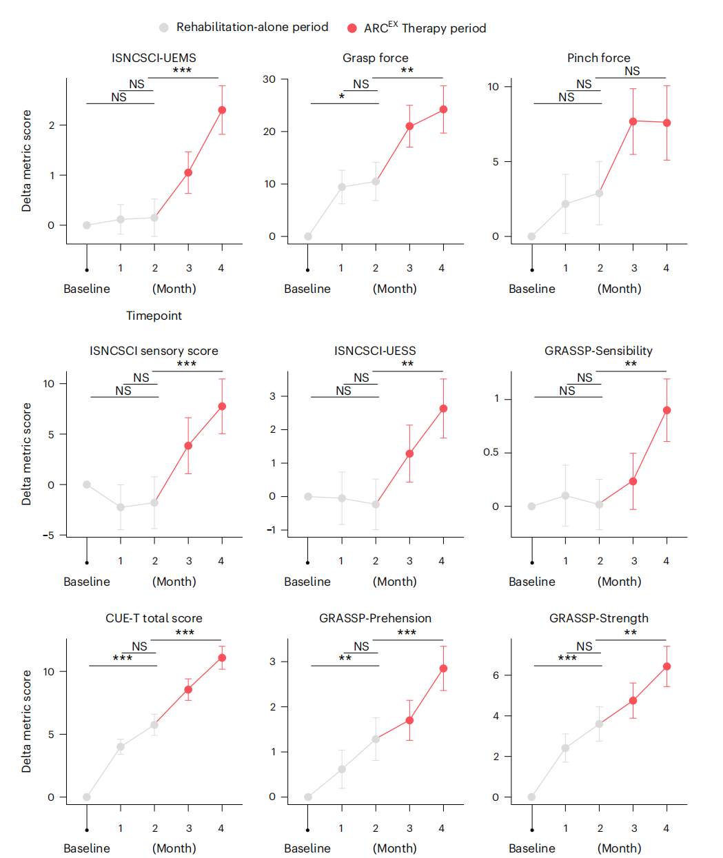
研究步骤:所有患者均先接受了两个月的标准化康复训练,随后又继续接受两个月的康复训练配合ARCEX疗法
研究目的:评估ARCEX疗法调节颈椎活动的安全性以及 ARCEX疗法与单独康复相比改善手臂和手部的有效性。

ARCEX治疗方式
根据GRASSP量表、国际脊髓损伤神经分类标准-上肢测量量表(ISNCSCI-UEMS)、上肢能力测试(CUE-T)等评估,72%(N=43)的患者在接受ARCEX治疗后,在上肢力量和功能两个维度上,分别至少有1项指标的提升达到了最小重要差异(MID)标准。同时,90%(N=54)的患者在这两个维度中至少有1项指标的提升幅度达到MID标准。

ARCEX治疗有效性
除此之外,根据患者自我报告的问卷结果显示,ARCEX治疗后患者的肌肉痉挛、睡眠质量、呼吸急促问题得到改善,疼痛减轻,87%的患者报告生活质量得到提高。治疗期间没有发生与ARCEX治疗相关的不良事件。

Up-LIFT试验证实了ARCEX疗法在改善慢性颈椎SCI患者手部和手臂功能方面的安全性和有效性,未来需要探索相关疗效背后的直接和长期改善机制,以及研究刺激如何与结构化康复相互作用。期待无创脊髓电刺激能够从修复神经角度,帮助脊髓损伤患者重握希望。
参考文献:
Moritz C, Field-Fote EC, Tefertiller C, et al. Non-invasive spinal cord electrical stimulation for arm and hand function in chronic tetraplegia: a safety and efficacy trial.Nat Med. 2024;30(5):1276-1283. doi:10.1038/s41591-024-02940-9